Permeability Of Free Space Formula

Chapter 30 Sources Of The Magnetic Field Ppt Download

Chapter 30 Sources Of The Magnetic Field Ppt Download

Important Questions For Cbse Class 12 Physics Earth S Magnetic

Important Questions For Cbse Class 12 Physics Earth S Magnetic

What Is Magnetic Permeability Definition Examples Video

What Is Magnetic Permeability Definition Examples Video

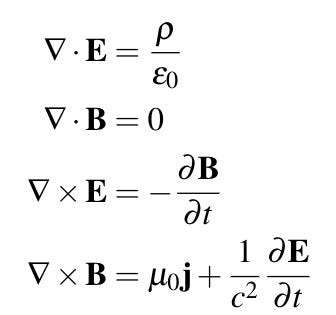
Maxwell S Equations Cantor S Paradise Medium

Maxwell S Equations Cantor S Paradise Medium

Electromagnet Electromagnetic Coil And Permeability

Electromagnet Electromagnetic Coil And Permeability

Https Www D Umn Edu Snorr Ece4501s4 Magckts Pdf

Https Www D Umn Edu Snorr Ece4501s4 Magckts Pdf

Permittivity

Permittivity